제임스 클러크 맥스웰 (James Clerk Maxwell, 1831-1879)의 생애와 업적에 대해 알아보고 맥스웰 방정식이 주는 의미에 대해서도 생각해 보자.

1. 어린 시절 (1831년 ~ 1847년)
1831년 6월 13일 스코틀랜드 에든버러에서 태어났다. 어린 시절에도 뛰어난 학습 능력을 보여주었고 에든버러 대학교에서 수학과 물리학을 공부했다. 1850년 케임브리지 대학교 트리니티 칼리지 진학했고 졸업 후에는 케임브리지 대학교에서 교수로 재직했다.
2. 연구 활동 (1847년 ~ 1865년)
색채론, 전자기학, 통계 열역학 등 다양한 분야에서 연구
1856년 "전기와 자기의 논리적 이론" 발표
맥스웰 방정식을 통해 전기와 자기를 통합
빛의 전자기파설 제시
기체 분자 운동론 연구를 통해 맥스웰-볼츠만 분포 도출
3. 주요 업적
1) 전자기학: 맥스웰 방정식을 제시하여 전기와 자기가 서로 연결된 하나의 힘임을 증명함. 이는 물리학 역사상 가장 중요한 업적 중 하나로 평가받고 있으며, 라디오, 텔레비전, 전력망 등 현대 사회의 필수적인 기술 발전에 기반이 됨.
2) 빛의 전자기파설: 빛이 전기장과 자기장의 파동임을 밝혀냄. 이는 이전까지 빛을 입자로 생각했던 기존의 관념을 뒤엎는 획기적인 발견이었으며, 양자역학 등 현대 물리학 발전에 큰 영향을 미침.
3) 통계 역학: 기체 분자의 운동을 통계적인 방법으로 분석하여 기체의 상태 방정식을 도출함. 이는 열역학 발전에 중요한 역할을 했으며, 물질의 상태 변화를 이해하는 데 중요한 도구가 됨.
4) 색채론: 삼원색의 혼합으로 모든 색을 표현할 수 있다는 것을 밝혀냄. 이는 사진술, 색채 디자인 등 다양한 분야에 영향을 미침.
5) 기타 업적: 토성의 고리를 구성하는 입자들이 서로 충돌하지 않는 이유를 설명하는 맥스웰의 도깨비, 전자기파의 속도가 빛의 속도와 같다는 것을 증명하는 등 다양한 분야에서 중요한 업적을 남김.
4. 후기 활동 및 사망 (1865년 ~ 1879년)
케임브리지 대학교에서 수학과 물리학 교수로 재직했고 1871년 "물질과 에너지"를 출판했다. 1879년 11월 5일 복강염으로 사망했다.
5. 맥스웰의 영향
맥스웰의 연구는 물리학, 수학, 공학 등 다양한 분야에 지대한 영향을 미쳤으며, 그의 업적은 현대 과학 기술 발전의 토대가 되었다. 20세기 최고의 물리학자 중 한 명으로 알베르트 아인슈타인, 아이작 뉴턴과 함께 비교 평가받고 있다.
맥스웰의 연구는 현대 물리학의 기초를 마련했고 아인슈타인, 켈빈 등 20세기 물리학자들에게 큰 영향을 끼쳤다. 그의 업적은 과학사에 길이 남을 위대한 성과로 꼽힌다.
6. 추가 정보
맥스웰은 평소 과학 연구뿐만 아니라 시, 그림, 음악 등 다양한 분야에 관심을 가진 다재다능한 인물이었다. 
맥스웰은 뛰어난 과학자 뿐만 아니라 훌륭한 교육자로 명성이 자자했으며 그의 저서 "물질과 에너지"는 과학 역사상 가장 중요한 책 중 하나이다. 
7. 맥스웰 방정식의 탄생과 배경
1) 역사적 배경
19세기 초, 전기와 자기는 서로 다른 힘으로 여겨졌다. 하지만 과학자들은 두 힘 사이에 깊은 연결이 존재한다고 믿었다.
2) 주요 과학자들의 기여
마이클 패러데이 (1791-1867): 전자기 유도 현상을 발견했다.
안드레 마리 앙페르 (1775-1836): 전류 사이의 힘을 설명하는 앙페르 법칙을 발표했다.
카를 프리드리히 가우스 (1777-1855): 전기장과 자기장의 개념을 도입했다.
윌리엄 톰슨 (켈빈 경) (1824-1907): 맥스웰 방정식의 초기 형태를 제시했다.
3) 맥스웰의 기여
제임스 클러크 맥스웰 (1831-1879): 1861년, 맥스웰은 패러데이, 앙페르, 가우스, 톰슨의 연구를 기반으로 전기와 자기장을 하나의 통합된 이론으로 설명하는 4개의 방정식을 발표했습니다.
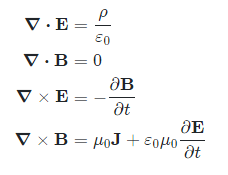
맥스웰 방정식:

위의 방정식은 
첫번째가 가우스의 전기 법칙
두번째가 가우스의 자기 법칙
세번째가 패러데이 법칙
네번째는 앙페르-맥스웰 법칙
으로 불린다.
4) 맥스웰 방정식의 중요성
전기와 자기 현상을 하나의 이론으로 통합했다. 빛이 전자기파임을 증명함으로써 무선 통신, 텔레비전, 레이더 등 현대 기술의 기반이 되었다.
5) 맥스웰 방정식의 영향
맥스웰 방정식은 물리학 역사상 가장 중요한 발견 중 하나로 여겨진다. 맥스웰 방정식은 현대 물리학의 기초를 형성하는 데 아주 중요한 역할을 했다.